- Home
- /
- Dunia Mahasiswa
- /
- Apa sih Perpindahan Kalor itu? Ini Dia Pengertian,...
Apa sih Perpindahan Kalor itu? Ini Dia Pengertian, Macam, Rumus, & Contonya
MAUKULIAH.ID– Pernahkah kamu sedang duduk di dekat api unggun dan lama kelamaan tiba-tiba badan kamu juga merasa hangat? Peristiwa ini disebut sebagai perpindahan panas atau perpindahan kalor. Apa itu perpindahan kalor? Yuk kita bahas bersama.
Pengertian Kalor
Kalor adalah bentuk energi panas yang ada pada suatu benda. Perpindahan kalor dapat diartikan bahwa terjadi perpindahan benda dari bersuhu tinggi ke benda bersuhu rendah.
Biasanya benda yang bersifat konduktor dapat menghantarkan panas dengan baik, misalnya seperti air, timah, besi. Contohnya dalam kehidupan sehari-hari adalah panci yang dapat menghantarkan panas. Api yang terkenal panci akan dengan cepat merambat panas dan membuat masakan menjadi matang.
Sedangkan ada juga beberapa benda yang disebut sangat buruk dalam menghantarkan panas di antaranya plastik, karet, kertas, dan kayu. Ketika kita menggunakan panci, biasanya terdapat gagang plastik yang tidak terkena rambatan panas sehingga kita dapat menjadi aman ketika memasak.
Macam-macam Perpindahan Kalor
Perpindahan panas atau kalor memiliki berbagai macam perpindahan. Kita sering sekali melihat ini dalam kehidupan sehari-hari loh. Berikut penjelasannya.
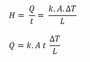
1. Konduksi
Perpindahan panas pada jenis kalor ini berpindah melalui zat panas namun tidak ikut mengalami perpindahan. Sehingga yang berpindah adalah suhunya, contohnya ketika kita memanaskan ujung sendok maka benda tersebut akan terasa hangat, atau seperti mentega yang dipanaskan melalui wajan karena panas.
Rumus perpindahan kalor secara konduksi:

Keterangan:
Q : kalor (J) atau (kal)
k : konduktivitas termal (W/mK)
A : luas penampang (m2)
ΔT : perubahan suhu (K)
L : panjang (m)
H : kalor yang merambat persatuan waktu (J/s atau watt)
t : waktu (sekon)
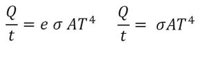
2. Konveksi
Perpindahan panas melalui jenis perpindahan kalor ini diikuti dengan zat perantara nya yang ikut bergerak dan berpindah. Sehingga ketika partikel berpindah, kalor akan merambat dan terjadilah konvensi. Kamu bisa melihat contohnya pada benda-benda gas seperti angin, seperti gerakan balon udara.
Rumus perpindahan kalor secara konduksi:

Keterangan:
Q : kalor (J) atau (kal)
k : konduktivitas termal (W/mK)
A : luas penampang (m2)
ΔT : perubahan suhu (K)
L : panjang (m)
H : kalor yang merambat persatuan waktu (J/s atau watt)
t : waktu (sekon)
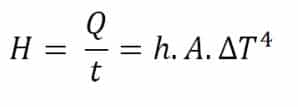
3. Radiasi
Jenis perpindahan yang terakhir adalah radiasi. Perpindahan panas melalui radiasi tidak mengikut sertakan peranannya, biasanya menggunakan cahaya. Contohnya dalam kehidupan sehari-hari adalah panas matahari yang sampai di bumi kita melalui ruang hampa atau ketika kita sedang kedinginan lalu duduk di pinggir api unggun dan merasa hangat.
Rumus perpindahan kalor secara radiasi:

Keterangan:
Q : kalor (J) atau (kal)
k : konduktivitas termal (W/mK)
A : luas penampang (m2)
ΔT : perubahan suhu (K)
L : panjang (m)
H : kalor yang merambat persatuan waktu (J/s atau watt)
t : waktu (sekon)
Baca juga: Bisa Ditiru, Bersiap Sedari Kelas 10 Akhirnya Sukses Lolos SNMPTN
Itu tadi penjelasan lengkap mengenai macam-macam perpindahan kalor yang terjadi dalam kehidupan sehari-hari yakni konduksi, konveksi, dan radiasi. Semoga materi ini dapat membantu kamu lebih paham mengenai materi tentang kalor. Untuk informasi seputar materi lainnya, kamu bisa intip di maukuliah.id ya!
Gambar: Pexels.com
Ditulis oleh Siti Haliza
Diedit oleh Seprila Mayang
